Sun exposure can darken scabs and increase the risk of scarring. 3. Seek professional help. If you experience excessive scabbing, redness, swelling, or pain after your electrolysis treatment, consult your electrologist or a dermatologist. They can assess the situation and recommend appropriate treatment. Additional Tips. Electrolysis Scars. Last April, I had an electrolysis treatment by my daughter who had just completed electrolysis school. After the treatment, I had one month of deep scabs. These scabs turned into red dots, then dark spots. There was also the sudden appearance of wrinkles at the corners of my mouth. I kept hoping that this would get better.

Result after 38 hours of electrolysis before and after FFS 2pass Clinic

Electrolysis — The YOU Clinic

Photoassisted Electrolysis

First time having electrolysis done on face, need some advice Professional Electrolysis

Electrolysis PHYWE

Electrolysis aftercare advice YouTube
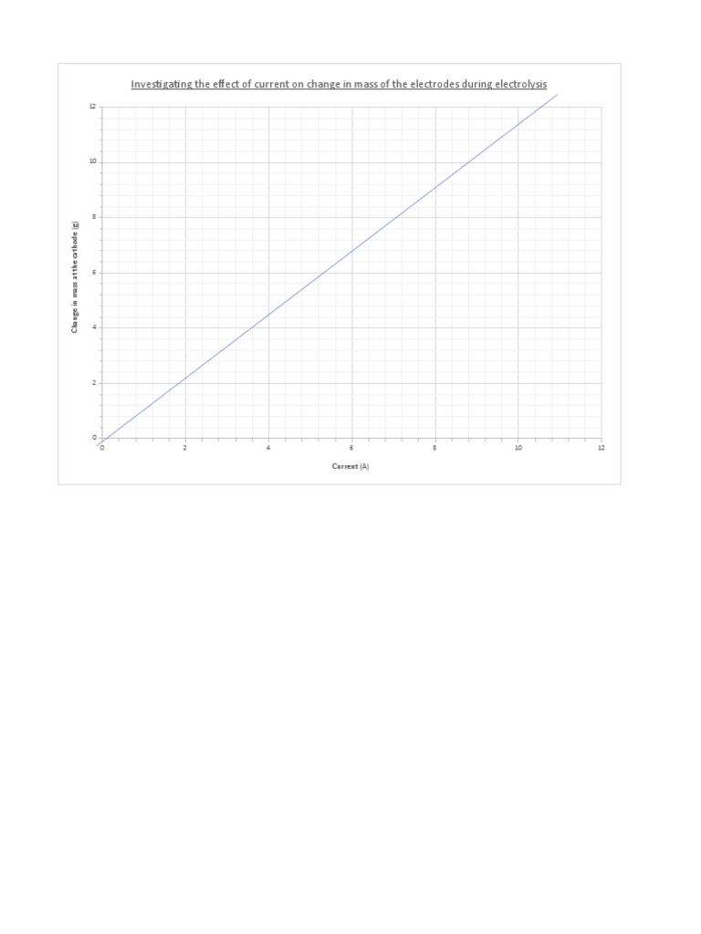
Investigating The Effect of Current On The Change in Mass at The Cathode After Electrolysis

Dylan Mulvaney's electrolysis I TikTok dylanmulvaney Most side effects of electrolysis are

PCOS BEARD REMOVAL SUMMARY ELECTROLYSIS Professional Electrolysis Hairtell hair removal
PS What should you do after the treatment to make sure the area Should I Get Electrolysis

What to do after popping pimples? Your AZ guide about pimple healing and avoiding scabs after t

How To Prevent & Treat Scabs on the Scalp After Bleaching Hair

Photoassisted Electrolysis

SOLVEDList some applications of electrolysis.

Zhentar's electrolysis diary Professional Electrolysis Hairtell hair removal forum by Andrea

×
![Electrolysis vs. Laser Hair Removal [Which is Better?] LaserAll Electrolysis vs. Laser Hair Removal [Which is Better?] LaserAll](https://laserallclinic.com/wp-content/uploads/electrolysis-1024x556.jpg)
Electrolysis vs. Laser Hair Removal [Which is Better?] LaserAll

Electrolysis Hair Removal

Electrolysis Frequently Asked Questions and Answers Hair Free Life

Share 126+ electrolysis for facial hair latest tnbvietnam.edu.vn
Pin dot crusting or small scabs may appear within the treated area; The skin may itch as the healing process takes place; POINTS TO REMEMBER FOR 48 HOURS* AFTER TREATMENT Skincare. Sterex Witch Hazel and Aloe Vera gel should be applied liberally using clean, damp cotton wool immediately after electrolysis to soothe, calm redness and prevent.. After electrolysis, be sure to avoid using makeup, soap and perfume on the treated areas for 24 hours. This can cause an irritation or infection of the treated area as the follicles are still open. Wash the face with tepid water only. Also, cleanse the skin with a cotton pad saturated with alcohol or an astringent such as Sea Breeze.