A operação da raiz quadrada de um número já era conhecida na antiguidade. A mais antiga tábua de argila com o valor correto de até 5 casas decimais de √2 = 1,41421 vem da Babilônia (1800 A.E.C. - 1600 A.E.C.).Muitos outros documentos mostram que as raízes quadradas também eram usadas pelos antigos egípcios, indianos, gregos e chineses.. Calculadora de Radicais e Raízes. Radicais online e calculadora de raízes. Calcule a enésima raiz de x. A enésima raiz de x é: n √ x = r. Insira o grau da raiz (n) e o número (x) e pressione o botão = : √.

Raiz Quadrada o que é, tipos e como calcular essa operação matemática

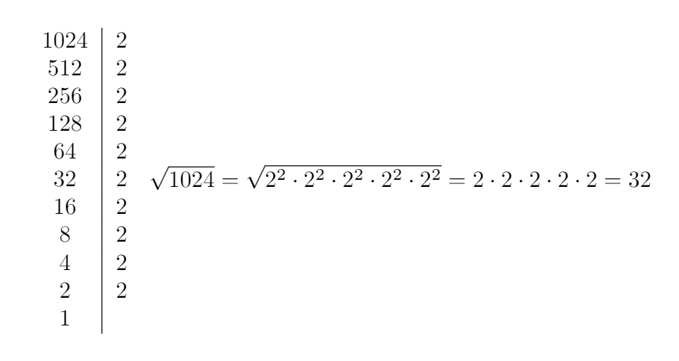
RAIZ QUADRADA RÁPIDA, SIMPLES E SEM FATORAÇÃO

RAIZ QUADRADA DE NÚMEROS DECIMAIS (NÚMERO COM VÍRGULA) YouTube

⚠️ Como Calcular RAIZ QUADRADA de 3 Modos Diferentes Enem

Raíz quadrada em 1 minuto YouTube

Cálculo da Raiz Quadrada YouTube

Como Resolver Uma Raiz Quadrada Infinita De Forma Rápida Desafio Difícil Muitos Erram YouTube

Aprenda a somar raízes quadradas passo a passo YouTube
Como Descobrir a Raiz Quadrada de um Número?

Como Resolver Raiz Cuadrada Paso A Paso abstractor

RAIZ QUADRADA RÁPIDA, SIMPLES E SEM FATORAÇÃO

RAIZ QUADRADA Aulas de matemática, Estratégias de matemática, Ensino de matemática

Sintético 102+ Foto Como Sacar La Raiz Cuadrada De Un Numero Lleno

Raiz quadrada de números de 1 a 1000 Click Escolar

RAIZ QUADRADA YouTube

Como encontrar raízes quadradas por aproximação? by Antônio Marcos Barbosa Medium

RAIZ QUADRADA RÁPIDA, SIMPLES E SEM FATORAÇÃO

Tabela De Raiz Quadrada De 1 A 100 EDUCA

CALCULO DE RAIZ QUADRADA YouTube

Raiz Quadrada, o que é? Como calcular a raiz quadrada de um número?
Resposta da Raiz Quadrada de 23. A raiz quadrada de 23 é aproximadamente 4,796. Este valor foi obtido através de estimativas iniciais, médias, testes e refinamento. √23 ≅ 4,80. Como calcular a Raiz Quadrada de 23 1. Estimativa inicial. Comece com uma estimativa inicial entre 4 e 5. 2. Método da Média. Calculadora de raiz quadrada (Alta precisão) A calculadora de raiz quadrada é usada para encontrar a raiz quadrada do número digitado. Raiz quadrada . Na matemática, a raiz quadrada de um número x é um número r tal que r 2 = x. Por exemplo: 1. A raiz quadrada de 25 é 5 porque 5 2 = 25. 3. A raiz quadrada de 2 é aproximadamente 1.