Réaliser une étude de fonction. Télécharger en PDF. L'étude d'une fonction f est une composante incontournable d'un problème. Selon l'énoncé, le nombre de questions intermédiaires peut varier, c'est pourquoi il faut être capable de dérouler par soi-même toutes les étapes de l'étude. L'objectif est de dresser le tableau de.. Dresser le tableau de variation d'une fonction. Dans le tableau de variations, on indique les variations d'une fonction. La fonction carré : pour tout réel x, f (x) = x 2. La fonction inverse : pour tout réel x non nul, f (x) = 1/x. La fonction cube : pour tout réel x, f (x) = x 3. La fonction racine carrée : pour tout réel x positif, f.
![Bonjour , svp aidez moi La fonction f est definie sur l'intervalle [5,5]. Sa courbe Bonjour , svp aidez moi La fonction f est definie sur l'intervalle [5,5]. Sa courbe](https://fr-static.z-dn.net/files/d23/4402048de62123ab127e72f3bc87eb02.jpg)
Bonjour , svp aidez moi La fonction f est definie sur l'intervalle [5,5]. Sa courbe

Dresser Le Tableau De Variation De La Fonction F La Galerie

PPT Les fonctions PowerPoint Presentation, free download ID1452914

Fonctions de référence cours 1ere Mathématiques SchoolMouv

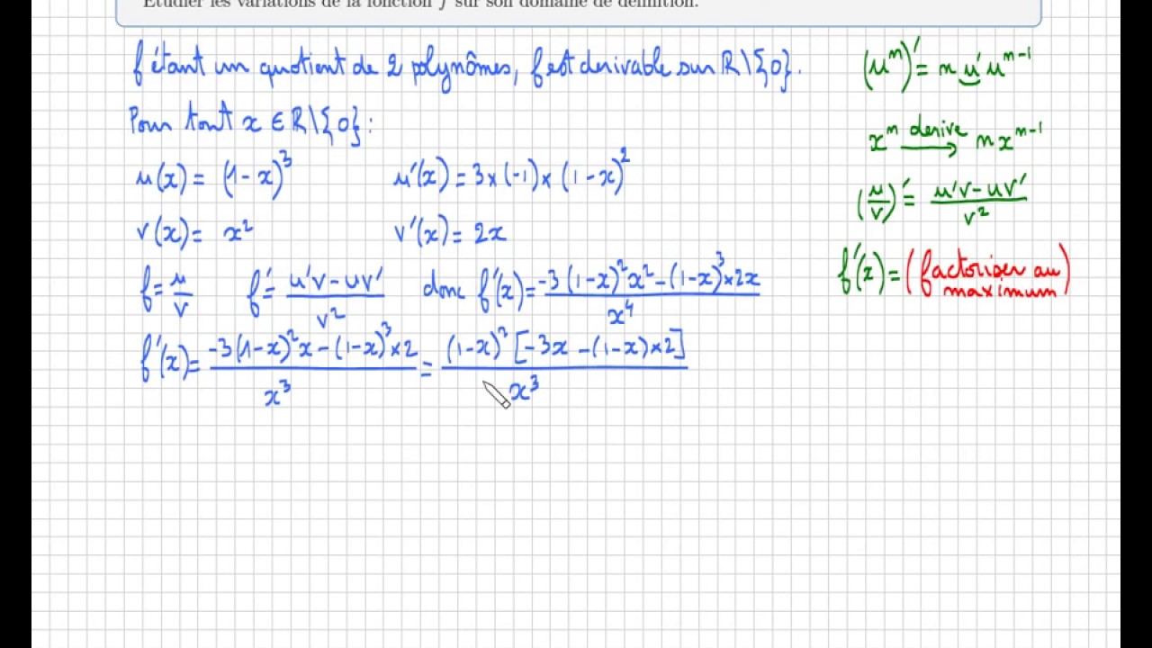
Etudier les variations d'une fonction f(x)=(1x)^3/ x² Terminale S YouTube

Dresser Le Tableau De Variation De La Fonction F La Galerie

Dresser le tableau de variations d'une fonction 2nde Exercice Mathématiques Kartable

Ex3 a) tracer du tableau combiné des variations de f et g YouTube

Construire le tableau de variations d'une fonction 2nde Méthode Mathématiques Kartable

Tableau de variations d'une fonction • Comparer des images les nombres f(1) et f(6

Voici le tableau de variations d'une fonction f.x 2. 1. 2. 3. f(x) 1. 3. Nosdevoirs.fr

Tableau de variation d'une fonction numérique de la variable réelle Logamaths.fr

1. Quel est l'ensemble de définition de f? 2. Dresser le tableau de variation de f. Pourriez

2nde Tableau de variations d'une fonction YouTube

fonction + dérivation avec 1/x + tableau de variations f'(x) Première spé maths Terminale

PPT Sens de variation d’une fonction PowerPoint Presentation, free download ID3055595

Exercices Corrigés La Continuité tableau des variations et le signe de f(x) YouTube

image intervalle par une fonction continue..... tableau de variation et lecture graphique YouTube

Comment dresser un tableau de variations ? Superprof

Tableau de variation d'une fonction avec une fraction YouTube
http://www.jaicompris.com/lycee/math/fonction/derivation/derivation-variations.phpcours dérivation - savoir étudier les variations d'une fonction avec la dér.. Dresser le tableau de variations. On synthétise dans le tableau de variations : Le domaine de définition de f, les valeurs où la dérivée change de signe et les éventuelles valeurs interdites. Le signe de f'\left (x\right) Les variations de f. Les limites et les extremums. On dresse enfin le tableau de variations complet de f : Révisez en.